平衡流量計是一種新型的差壓式流量計,其具備了傳統差壓式流量計結構簡單,精確度高,皮實耐用等特點,又克服了傳統差壓式流量計的準確度低、誤差大、流量范圍窄、易磨損、**圧損高,現場安裝要求直管段過長等不足之處,是一種新型的流量計。使用流體力學研究成果對傳統節流裝置進行較大的改進,具有平衡整流的顯著特征。傳統節流裝置只有一個流通孔徑,節流后使流體失去了理想狀態;而平衡流量計有多個函數孔徑,能*大限度的把流場平衡整流成理想流體,從而將差壓式流量計的優勢發揮的淋漓盡致。平衡流量計幾乎適用于所有流體測量,是流體測量技術的一場革命,目前平衡流量計已經**應用到石油、化工、冶金、電力、天然氣、水處理等行業。
工作原理:
平衡流量計是一種革命性的差壓式流量儀表,其工作原理與其他差壓式流量計一樣,都是基于密封管道中的能量轉換原理:在理想流體的情況下管道中的流量與差壓的平方根成比例;擁測出差壓值根據伯努利方程即可計算出管道中的流量。平衡流量傳感器是一個多孔的圓盤節流整流器,安裝在管道的截面上,每個孔的尺寸和分布是基于特殊的公式和測試數據而定制的,稱為函數孔。當流體穿過圓盤的函數孔時,流體將被平衡整流,渦流被*小化,形成近似理想流體,通過取壓裝置,可獲得穩定的差壓信號,根據伯努利方程計算出體積流量、質量流量。

平衡流量計是一種節流式流量傳感器。它采用調整器式的孔板結構,可以應用在上游有擾動流場因素的場合。
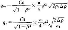
流量計算公式:
式中:qm ,qv——分別為質量流量(㎏/s)和體積流量(m 3/s);
C——流出系數 ;
ε——可膨脹性系數;
d——節流件開孔直徑,m;
β——直徑比,β=d/D;
D——管道內經,m;
ρ1——被測流體密度,㎏/m 3;
Δp——差壓,Pa;
特點
1、測量精度是標準孔板的5~10倍
2、流動噪聲是標準孔板的1/15
3、**壓力損失是標準孔板的1/3
4、壓力恢復比標準孔板快2倍
5、*小直管段可以小于0.5D
一、線性度高、重復性好
平衡流量傳感器具有對稱多孔結構特點,能對流場進行平衡,降低了渦流、振動和信號噪聲,流場穩定性大大提高,使線性度比孔板提升了5~10倍,重復性提高了54%,為0.15%,從其綜合性能來看,平衡流量計屬于**流量計行列。
5:1量程比時,線性度可達±0.3%;
7:1量程比時,線性度可達±0.5%;
10:1量程比時,線性度可達±1.0%
二、直管段要求低
平衡流量傳感器由于流場穩定,且壓力恢復比孔板快兩倍,大大所短了對直管段的要求其前后直管段一般為前3D后1D,*小可以小于0.5D,從而省去大量直管段,尤其是特殊昂貴的材料的管道。
三、減少**壓力損失
多孔對稱的平衡設計,減少了紊流剪切力和渦流的形成,降低了動能的損失,在同樣的測量工況下,與孔板相比減少了2.5倍的**壓力損失,從而節省了相當大的運行能量成本,是一種節能型儀表,值得大量推廣。
四、耐臟污不易堵
多孔對稱的平衡設計,減少了紊流剪切力和渦流的形成,從而大大降低了滯留死區的形成,保證臟污介質順利通過多個孔,減小了流體孔被堵塞的機會。
五、可直接替換孔板
其與孔板具有相同的使用方法和外形,因此可以直接進行替換,不需要任何配管的變化和相關儀表的更改,很適合全廠能源計量改造中將孔板改為平衡流量計。
六、流量測量范圍寬
根據試驗結果,我們了解到:平衡流量計的性能,使其流速可以從*小到音速;其*小雷諾數可低于200,*大雷諾數大于107;β值可選0.25~0.90。
七、長期穩定性好
由于其紊流剪切力的明顯減小,大幅度降低了介質與節流件直接的摩擦,其β值長期保持不變,整個儀表無可動部件,因此可以長期保持穩定性。
八、可測高溫高壓介質
與孔板等節流裝置一樣,工作溫度壓力取決于管道和法蘭的材質和等級,工作溫度可達850℃,工作壓力可達42MPa。
九、可測復雜工況介質
由于其特殊的結構設計,使其具有特殊的性能,它可以進行氣液兩相 ,各種混合氣體(如瓦斯、沼氣、煤氣等等)、各種低溫氣體(如LNG、液氮、液氧、液氬、液氫、液氯、液化乙烯、液化石油氣等等)、氣液兩相介質(如濕氣)、漿料、多相水流、震動水流、電磁干擾介質和雙向流(因為平衡流量計左右完全對稱)。
平衡流量計結構形式
平衡流量計采用法蘭取壓方式,見圖1、圖2

平衡流量計安裝直管道要求(數值以管徑D倍數表示)
孔板上游側入口 | β | 0.20 | 0.40 | 0.65 |
單個 90° 彎頭或 T型三通 | 2 | 2 | 2 | |
兩個或兩個以上 90° 彎曲在同一面上 | 2 | 2 | 2 | |
兩個或兩個以上 90° 彎曲在不同面上 | 2 | 2 | 2 | |
漩渦流體偏離達 10° | 2 | 2 | 2 | |
減壓閥(管線尺寸的 1 倍) | 2 | 2 | 2 | |
蝶閥(75% 開) | 2 | 2 | 2 | |
流量計下游側入口 | 2 | 2 | 2 | |
平衡流量計選型:
XT-LPH- | 平衡流量計 | |||||
公程通徑 | -XXX | 100表示DN100 | ||||
安裝形式 | pp | 管道式 | ||||
HF | 對夾式 | |||||
FW | 焊接式 | |||||
DF | 雙法蘭式 | |||||
SP | 方管式 | |||||
公稱壓力 | A | 0~0.6MPA | ||||
B | 0~1.0MPA | |||||
C | 0~1.6MPA | |||||
D | 0~2.5MPA | |||||
E | 0~4.0MPA | |||||
F | 0~6.4MPA | |||||
G | 0~10MPA | |||||
H | 0~16MPA | |||||
J | 0~40MPA | |||||
管道材質 | 0 | 碳鋼 | ||||
1 | 304不銹鋼 | |||||
2 | 12CrMOV | |||||
3 | 其它 | |||||
輸出信號 | A | 無輸出 | ||||
B | 4~20MA | |||||
C | RS485 MODBUS | |||||
適用氣體:
1、高爐煤氣、城市煤氣、發生爐煤氣、天然氣、液化石油氣、沼氣、瓦斯氣、
2、壓縮空氣、氧氣、氮氣、氫氣、氬氣、乙炔氣、一氧化碳、二氧化碳、
3、鍋爐煙道氣、引風機、鼓風機風量、濕氯氣、濕氯化物和其他腐蝕性氣體。
適用液體:
1、原油、液壓油、變壓器油、燃料油、重油、渣油、潤滑油、柴油、機油、煤油、汽油等
2、甲苯、乙苯、二甲苯、乙醇、乙醚、乙二醇、丙烯等有機溶液
3、食用油、啤酒、糖液、咖啡、淀粉牛奶等
4、水、自來水、河水、井水、工業用水、原水、去離子水、純水等。
適用蒸汽:
1、飽和蒸汽、過熱蒸汽
可以測量的特殊流體
1、含油、含粉塵、含氣體的流體,如油 +砂、水中含氣泡等。




